<
Https Www Hkmj Org System Files 2006 S4 Pdf

Https Www Hkmj Org System Files 2006 S4 Pdf

Pdf 100 Years Since Tolaas Bacterial Blotch Of Mushrooms In The 21st Century

Pdf 100 Years Since Tolaas Bacterial Blotch Of Mushrooms In The 21st Century

Pdf Candidate Gene For Natural Immune Competence In Chickens Revealed Through Genome Wide Association Study

Pdf Candidate Gene For Natural Immune Competence In Chickens Revealed Through Genome Wide Association Study

Pdf Humoral Anti Klh Responses In Cancer Patients Treated With Dendritic Cell Based Immunotherapy Are Dictated By Different Vaccination Parameters

Pdf Humoral Anti Klh Responses In Cancer Patients Treated With Dendritic Cell Based Immunotherapy Are Dictated By Different Vaccination Parameters

Https Www Chamber Org Hk Fileupload 201307311610076839 Skmbt C45213071910100 Pdf

Https Www Chamber Org Hk Fileupload 201307311610076839 Skmbt C45213071910100 Pdf

Https Www Chamber Org Hk Fileupload 201307311610076839 Skmbt C45213071910100 Pdf

Https Www Chamber Org Hk Fileupload 201307311610076839 Skmbt C45213071910100 Pdf

Https Www Chamber Org Hk Fileupload 201307311610076839 Skmbt C45213071910100 Pdf

Pdf The Pepviii Klh Cdx 110 Vaccine In Glioblastoma Multiforme Patients

Pdf The Pepviii Klh Cdx 110 Vaccine In Glioblastoma Multiforme Patients

Cytotoxicity And Antigenicity Of Antimicrobial Synthesized Peptides Derived From The Beetle Allomyrina Dichotoma Defensin In Mice Sciencedirect

Cytotoxicity And Antigenicity Of Antimicrobial Synthesized Peptides Derived From The Beetle Allomyrina Dichotoma Defensin In Mice Sciencedirect

Recent Development In Carbohydrate Based Anti Cancer Vaccines Abstract Europe Pmc

Recent Development In Carbohydrate Based Anti Cancer Vaccines Abstract Europe Pmc

2

2

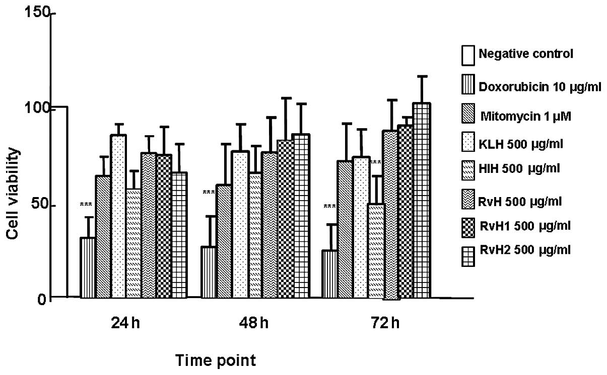
In Vitro Effect Of Molluscan Hemocyanins On Cal 29 And T 24 Bladder Cancer Cell Lines

In Vitro Effect Of Molluscan Hemocyanins On Cal 29 And T 24 Bladder Cancer Cell Lines

2

2

Recent Development In Carbohydrate Based Anti Cancer Vaccines Abstract Europe Pmc

Recent Development In Carbohydrate Based Anti Cancer Vaccines Abstract Europe Pmc

Https Www Chamber Org Hk Fileupload 201307311610076839 Skmbt C45213071910100 Pdf

Https Www Chamber Org Hk Fileupload 201307311610076839 Skmbt C45213071910100 Pdf

Pdf Humoral Anti Klh Responses In Cancer Patients Treated With Dendritic Cell Based Immunotherapy Are Dictated By Different Vaccination Parameters

Pdf Humoral Anti Klh Responses In Cancer Patients Treated With Dendritic Cell Based Immunotherapy Are Dictated By Different Vaccination Parameters

2

2

Evaluation Of Mass Sensitive Micro Array Biosensors For Their Feasibility In Multiplex Detection Of Low Molecular Weight Toxins Using Mycotoxins As Model Compounds Sciencedirect

Evaluation Of Mass Sensitive Micro Array Biosensors For Their Feasibility In Multiplex Detection Of Low Molecular Weight Toxins Using Mycotoxins As Model Compounds Sciencedirect

Pdf Humoral Anti Klh Responses In Cancer Patients Treated With Dendritic Cell Based Immunotherapy Are Dictated By Different Vaccination Parameters

Pdf Humoral Anti Klh Responses In Cancer Patients Treated With Dendritic Cell Based Immunotherapy Are Dictated By Different Vaccination Parameters

Gene Silencing Of Il 12 In Dendritic Cells Inhibits Autoimmune Arthritis Journal Of Translational Medicine Full Text

Gene Silencing Of Il 12 In Dendritic Cells Inhibits Autoimmune Arthritis Journal Of Translational Medicine Full Text

In Vitro Effect Of Molluscan Hemocyanins On Cal 29 And T 24 Bladder Cancer Cell Lines

In Vitro Effect Of Molluscan Hemocyanins On Cal 29 And T 24 Bladder Cancer Cell Lines

Source : google.com